近年来,随着人民生活质量的提高,室内装饰装修材料用量大幅增加,室内空气中 TVOC 浓度也随之升高,TVOC 是室内空气的主要污染物,由于易溶于油脂,很容易被肺部吸收危害人体健康。
在TVOC的试验过程中,主要用到多舱法TVOC排放舱,下面,我们来看看相关的试验过程以及tvoc的计算。
试验设备:环仪仪器 多舱法TVOC排放舱

设备条件:
舱内空气温度(23±1) ℃、舱内空气相对湿度 50% ±5%、空气交换率(0.5±0.01) 次/h,被测样品表面附近空气流速 0.1~0.3 m/s;
舱漏风量小于空气供应量的 5%;
TVOC 本底浓度不大于 50μg/m³,评价中目标单一污染物本底浓度不大于 5μg/m³;
甲苯和正十二烷的平均回收率不小于 80%。

测定时间
以试件放入舱体时刻计为 0 时刻,测定时间初定为第(24±1)h、第(72±1)h、第(168±1)h。
试验结果计算:
1.线性回归方程的计算:
根据标准样品吸附管中各有机化合物的质量及相应色谱峰的面积,通过最小二乘法拟合得到线性回归方程,如下公式,其线性相关系数应大于0.995。

Ai—样品吸附管中组分 i 的色谱峰面积;
ki—组分 i 的线性回归方程的斜率;
mi—样品吸附管中组分 i 的质量,mg;
bi—组分 i 的线性回归方程在Y 轴上的截距,截距 bi 应尽可能小。
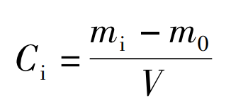
2.空气样品中各组分释放量:
所采空气样品中各组分的释放量按一下公式计算。

式中:
Ci—所采空气样品中 i 组分的释放量,mg/m³;
mi—样品吸附管中组分 i 的质量,mg;
m0—空白采样管中组分 i 的质量,mg;
V—空气采样体积,L。
3.空气样品中各组分标准状态下释放量换算:
所采空气样品中各组分的释放量按以下公式换算成标准状态下的释放量。

式中:
Cc—标准状态下所采空气样品中 i 组分的释放量,mg/m³;
P—采样时采样点的大气压力,kPa;
t—采样时采样点的温度,℃。
4.TVOC 释放量
所采空气样品中 TVOC 的释放量按以下公式计算。

式中:
CTVOC—标准状态下所采空气样品中 TVOC释放量,mg/m³。CTVOC 应取 2 次测试结果的平均值,其相对偏差应小于 5% ,否则应重新进行试验,结果保留至小数点后 1 位。
如有多舱法TVOC排放舱的试验疑问,可以咨询环仪仪器相关技术人员。